• Latest
  • Trending

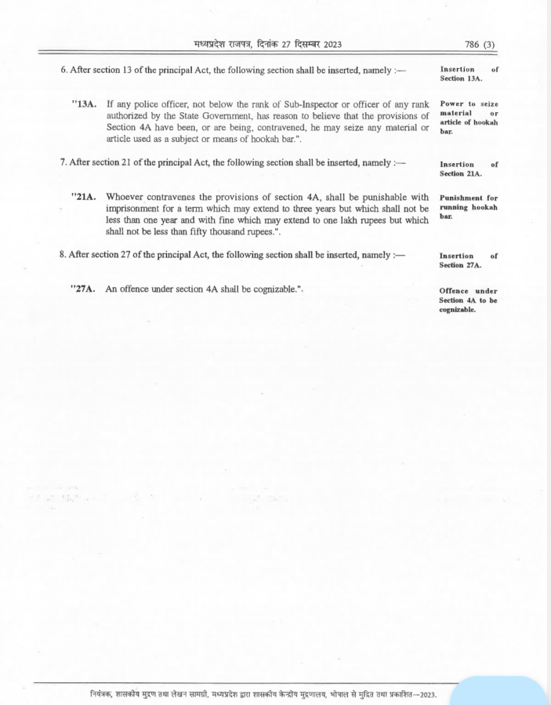
नए साल से पहले एमपी में सिगरेट अन्य तंबाकू उत्पाद अधिनियम 2023 लागू हुआ।

December 29, 2023

कुरैठा के रोजगार सहायक रामप्रकाश दांगी निलंबित।

February 19, 2025

शहर काजी ने कहा, मस्जिदों में इस्तेमाल करें सोलर सिस्टम, बिजली फिजूलखर्ची पर लगाएं रोक

February 19, 2025

GIS के VIP मेहमानों पर खतरे की घंटी, नियमविरुद्ध निर्माण पर भाजपाई झंडों की भरपाई

February 19, 2025

ये है हमारी पुलिस!: न धाराओं की जानकारी न बीट का पता, टीआई सहित 15 अटैच, अब दोबारा ट्रेनिंग, पास हुए तो मिलेगा थाना |

February 19, 2025

ग्लोबल इन्वेस्टर्स समिट को लेकर स्वास्थ्य विभाग ने बनाई डॉक्टरों की टीम

February 19, 2025

मुख्यमंत्री मोहन यादव को ग्लोबल इन्वेस्टर्स समिट की सफलता का शंख भेंट…

February 19, 2025

सिविल अस्पताल गोविंदपुरा हथाईखेड़ा के सुदृढ़ीकरण की आवश्यक व्यवस्थाएँ शीघ्र पूर्ण करे : डिप्टी सीएम  शुक्ल

February 18, 2025

जीआईएस की तैयारियों में जुटा जिला प्रशासन कलेक्टर ने की समीक्षा बैठक |

February 18, 2025

बैरसिया एसडीएम जनसुनवाई में समस्याओं का तत्परता से हो रहा समाधान

February 18, 2025

मीडिया हाउस के मालिक और उद्योगपति हृदेश दीक्षित के यहां इनकम टैक्स विभाग की टीम ने छापा मारा

February 18, 2025

यूका का कचरा जलाने के दौरान हादसा हुआ तो क्या इंतजाम’…

February 18, 2025

मध्यप्रदेश के 207 प्राइवेट स्कूल होंगे बंद, अधर में 31 हजार बच्चों का भविष्य |

February 18, 2025
Retail
Sunday, April 19, 2026
Subscription
Advertise
  • देश
  • राजनीति
  • अपराध
  • शहर
  • धर्मसमाज
  • खेलकूद
  • स्वास्थ्य
  • प्रशासन
  • परिवहन
  • वन
  • शिक्षा
  • विशेष व्यंग
No Result
View All Result
  • देश
  • राजनीति
  • अपराध
  • शहर
  • धर्मसमाज
  • खेलकूद
  • स्वास्थ्य
  • प्रशासन
  • परिवहन
  • वन
  • शिक्षा
  • विशेष व्यंग
No Result
View All Result
Newsdiary24
No Result
View All Result

नए साल से पहले एमपी में सिगरेट अन्य तंबाकू उत्पाद अधिनियम 2023 लागू हुआ।

by Amit Sen
December 29, 2023
in देश, राजनीति
0 0
0
Post Views: 95

YOU MAY ALSO LIKE

शहर काजी ने कहा, मस्जिदों में इस्तेमाल करें सोलर सिस्टम, बिजली फिजूलखर्ची पर लगाएं रोक

GIS के VIP मेहमानों पर खतरे की घंटी, नियमविरुद्ध निर्माण पर भाजपाई झंडों की भरपाई

SendShare

Browse by Category

  • Uncategorized
  • अपराध
  • खेती-किसानी
  • खेलकूद
  • देश
  • धर्मसमाज
  • पटियेबाजी
  • परिवहन
  • प्रशासन
  • मनोरंजन
  • मौसम
  • राजनीति
  • वन
  • विशेष व्यंग
  • व्यापार
  • शहर
  • शिक्षा
  • स्वास्थ्य
  • देश
  • राजनीति
  • अपराध
  • शहर
  • धर्मसमाज
  • खेलकूद
  • स्वास्थ्य
  • प्रशासन
  • परिवहन
  • वन
  • शिक्षा
  • विशेष व्यंग

© 2026 JNews - Premium WordPress news & magazine theme by Jegtheme.

No Result
View All Result
  • देश
  • राजनीति
  • अपराध
  • शहर
  • धर्मसमाज
  • खेलकूद
  • स्वास्थ्य
  • प्रशासन
  • परिवहन
  • वन
  • शिक्षा
  • विशेष व्यंग

© 2026 JNews - Premium WordPress news & magazine theme by Jegtheme.

Welcome Back!

Login to your account below

Forgotten Password?

Retrieve your password

Please enter your username or email address to reset your password.

Log In

Add New Playlist

Are you sure want to unlock this post?
Unlock left : 0
Are you sure want to cancel subscription?